CHƯƠNG VII: BẤT PHƯƠNG TRÌNH BẬC HAI MỘT ẨN
- Giải bài tập sách bài tập (SBT) toán lớp 10 chân trời sáng tạo bài 1 Dấu của tam thức bậc hai
- Giải bài tập sách bài tập (SBT) toán lớp 10 chân trời sáng tạo bài 2 Giải bài tập bất phương tình bậc hai một ẩn
- Giải bài tập sách bài tập (SBT) toán lớp 10 chân trời sáng tạo bài 3 Phương trình quy về phương trình bậc hai
- Giải bài tập sách bài tập (SBT) toán lớp 10 chân trời sáng tạo Bài tập cuối chương VII
CHƯƠNG VIII: ĐẠI SỐ TỔ HỢP
- Giải bài tập sách bài tập (SBT) toán lớp 10 chân trời sáng tạo bài 1 Quy tắc cộng và quy tắc nhân
- Giải bài tập sách bài tập (SBT) toán lớp 10 chân trời sáng tạo bài 2 Hoán vị, chỉnh hợp và tổ hợp
- Giải bài tập sách bài tập (SBT) toán lớp 10 chân trời sáng tạo bài 3 Nhị thức Newton
- Giải bài tập sách bài tập (SBT) toán lớp 10 chân trời sáng tạo Bài tập cuối chương VIII
CHƯƠNG IX: PHƯƠNG PHÁP TỌA ĐỘ TRONG MẶT PHẲNG
- Giải bài tập sách bài tập (SBT) toán lớp 10 chân trời sáng tạo bài 1 Tọa độ của vectơ
- Giải bài tập sách bài tập (SBT) toán lớp 10 chân trời sáng tạo bài 2 Đường thẳng trong mặt phẳng tọa độ
- Giải bài tập sách bài tập (SBT) toán lớp 10 chân trời sáng tạo bài 3 Đường tròn trong mặt phẳng tọa độ
- Giải bài tập sách bài tập (SBT) toán lớp 10 chân trời sáng tạo bài 4 Ba đường conic trong mặt phẳng tọa độ
- Giải bài tập sách bài tập (SBT) toán lớp 10 chân trời sáng tạo Bài tập cuối chương IX
Giải bài tập sách bài tập (SBT) toán lớp 10 chân trời sáng tạo Bài tập cuối chương IX
https://s.shopee.vn/AKN2JyAJAw
Hướng dẫn giải Bài tập cuối chương IX trang 77 sách bài tập (SBT) toán lớp 10 tập 2
Trong bài hướng dẫn này, chúng ta sẽ cùng nhau tìm hiểu cách giải bài tập cuối chương IX trang 77 sách bài tập (SBT) toán lớp 10 tập 2. Đây là một phần quan trọng giúp học sinh nắm vững kiến thức và kỹ năng cần thiết.
Đầu tiên, hãy đọc đề bài một cách cẩn thận để hiểu rõ yêu cầu của bài toán. Tiếp theo, xác định những kiến thức và công thức liên quan được học trong chương IX. Sau đó, áp dụng các bước giải bài toán một cách logic và có hệ thống.
Không quên kiểm tra lại kết quả cuối cùng và đảm bảo rằng các bước giải của bạn đã đúng. Nếu có bất kỳ khó khăn nào, hãy tham khảo cách giải chi tiết trong hướng dẫn này để giúp bạn hiểu rõ hơn về vấn đề đó.
Hy vọng rằng sau khi đọc hướng dẫn này, bạn sẽ tự tin hơn khi giải các bài tập và nắm vững kiến thức toán học. Hãy cố gắng và không bao giờ sợ khó khăn, vì chỉ qua việc vượt qua những thách thức mới bạn có thể phát triển được.
Bài tập và hướng dẫn giải
A. TRẮC NGHIỆM
Bài tập 1. Cho hai vectơ $\overrightarrow{a} $ = (4; 3) và $\overrightarrow{b}$ = (1; 7). Góc giữa hai vectơ $\overrightarrow{a}$ và $\overrightarrow{b}$ là:
A. $90^{o}$; B. $60^{o}$; C. $45^{o}$; D. $30^{o}$.
Bài tập 2. Cho hai điểm M = (1; -2) và N = (-3; 4). Khoảng cách giữa hai điểm M và N là:
A. 4; B. 6; C. $3\sqrt{6}$; D. $2\sqrt{13}$.
Bài tập 3. Tam giác ABC có A = (-1; 1), B = (1; 3) và C = (1; -1). Trong các phát biểu sau đây, phát biểu nào đúng?
A. ABC là tam giác có ba cạnh bằng nhau;
B. ABC là tam giác có ba góc đều nhọn;
C. ABC là tam giác cân tại B (có BA = BC);
D. ABC là tam giác vuông cân tại A.
Bài tập 4. Cho phương trình tham số của đường thẳng d:
Trong các phương trình sau, phương trình nào là phương trình tổng quát của (d)?
A. 2x + y - 1 = 0; B. 2x + 3y + 1 = 0;
C. x + 2y + 2 = 0; D. x + 2y - 2 = 0.
Bài tập 5. Đường thẳng đi qua điểm M(1; 0) và song song với đường thẳng d: 4x + 2y + 1 = 0 có phương trình tổng quát là:
A. 4x + 2y + 3 = 0; B. 2x + y + 4 = 0;
C. 2x + y - 2 = 0; D. x - 2y + 3 - 0.
Bài tập 6. Bán kính của đường tròn tâm I(0; -2) và tiếp xúc với đường thẳng $\Delta$: 3x - 4y - 23 = 0 là:
A. 15; B. 5; C. $\frac{3}{5}$; D. 3.
Bài tập 7. Cho đường tròn (C): $x^{2} + y^{2} + 2x + 4y - 20 = 0$. Trong các mệnh đề sau đây, phát biểu nào sai?
A. (C) có tâm I(1; 2); B. (C) có bán kính R = 5;
C. (C) đi qua điểm M(2; 2); D. (C) không đi qua điểm A(1; 1).
Bài tập 8. Phương trình tiếp tuyến tại điểm M(3; 4) với đường tròn (C): $x^{2} + y^{2} - 2x - 4y + 3 = 0$ là:
A. x + y - 7 = 0; B. x + y + 7 = 0;
C. x - y - 7 = 0; D. x + y - 3 = 0.
Bài tập 9. Phương trình chính tắc của elip có hai đỉnh là (-3; 0), (3; 0) và hai tiêu điểm là (-1; 0), (1; 0) là:
A. $\frac{x^{2}}{9} + \frac{y^{2}}{1} = 1$; B. $\frac{x^{2}}{8} + \frac{y^{2}}{9} = 1$;
C. $\frac{x^{2}}{9} + \frac{y^{2}}{8} = 1$; D. $\frac{x^{2}}{1} + \frac{y^{2}}{9} = 1$.
Bài tập 10. Phương trình chính tắc của hypebol có hai đỉnh là (-4; 0), (4; 0) và hai tiêu điểm là (-5, 0), (5; 0) là:
A. $\frac{x^{2}}{16} - \frac{y^{2}}{25} = 1$; B. $\frac{x^{2}}{16} - \frac{y^{2}}{9} = 1$;
C. $\frac{x^{2}}{100} - \frac{y^{2}}{36} = 1$; D. $\frac{x^{2}}{64} - \frac{y^{2}}{36} = 1$;
Bài tập 11. Phương trình chính tắc của parabol có tiêu điểm (2; 0) là:
A. $y^{2} = 8x$; B. $y^{2} = 4x$; C. $y^{2} = 2x$; D. $y = 2x^{2}$.
Bài tập 12. Elip với độ dài hai trục là 20 và 12 có phương trình chính tắc là:
A. $\frac{x^{2}}{40} + \frac{y^{2}}{12} = 1$; B. $\frac{x^{2}}{1600} + \frac{y^{2}}{144} = 1$;
C. $\frac{x^{2}}{100} + \frac{y^{2}}{36} = 1$; D. $\frac{x^{2}}{64} + \frac{y^{2}}{36} = 1$.
B. TỰ LUẬN
Bài tập 1. Trong mặt phẳng Oxy cho ba điểm A(2; 2), B(1; 3), C(-1; 1).
a) Chứng minh OABC là một hình chữ nhật;
b) Tìm toạ độ tâm I của hình chữ nhật OABC.
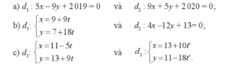
Bài tập 2. Tìm góc giữa hai đường thẳng $d_{1}$ và $d_{2}$.

Bài tập 3. Cho tam giác ABC với toạ độ ba đỉnh là 4(1; 1), B(3; 1); C(1; 3). Tính độ dài đường cao AH.
Bài tập 4. Tính bán kính của đường tròn tâm J(1; 0) và tiếp xúc với đường thẳng d: 8x - 6y + 22 = 0.
Bài tập 5. Tính khoảng cách giữa hai đường thẳng:
$\Delta$: ax + by + c = 0 và $\Delta'$: ax+ by + d = 0 (biết $\Delta // \Delta'$).
Bài tập 6. Tìm tâm và bán kính của các đường tròn có phương trình:
a) $(x + 1)^{2} + (y + 2)^{2} = 225$;
b) $x^{2} + (y - 7)^{2} = 5$;
c) $x^{2} + y^{2} = 10x =24y = 0$.
Bài tập 7. Lập phương trình đường tròn trong các trường hợp sau:
a) Có tâm I(2; 2) và bán kính bằng 7;
b) Có tâm J(0; -3) và đi qua điểm M(-2; -7);
c) Đi qua hai điểm A(2; 2), B(6; 2) và có tâm nằm trên đường thẳng x - y = 0;
d) Đi qua gốc toạ độ và cắt hai trục toạ độ tại các điểm có hoành độ là 8, tung độ là 6.
Bài tập 8. Viết phương trình tiếp tuyến với đường tròn (C): $(x - 1)^{2} + (y - 1)^{2} = 25$ tại điểm A(4; 5).
Bài tập 9. Gọi tên các đường conic sau:

Bài tập 10. Tìn tọa độ các tiêu điểm, tọa độ các đỉnh, độ đài trục lớn và trục nhỏ của các elip sau:
a) $\frac{x^{2}}{169} + \frac{y^{2}}{25} = 1$; b) $x^{2} + 4y^{2} = 1$.
Bài tập 11. Viết phương trình chính tắc của elip thỏa mãn các điều kiện sau:
a) Độ dài trục lớn 26, độ đài trục nhỏ 10;
b) Độ dài trục lớn 10, tiêu cự 6.
Bài tập 12. Tìm tọa độ các tiêu điểm, tọa độ các đỉnh, độ dài trục thực và trục ảo của các hypebol sau:
a) $\frac{x^{2}}{25} - \frac{y^{2}}{144} = 1$; b) $\frac{x^{2}}{16} - \frac{y^{2}}{9} = 1$.
Bài tập 13. Viết phương trình chính tắc của hypebol thỏa mãn các điêu kiện sau:
a) Đỉnh (-6, 0) và (6; 0); tiêu điểm (-10; 0) và (10; 0);
b) Độ dài trục thực là 10, độ đài trục ảo là 20.
Bài tập 14. Tìm tọa độ tiêu điểm, phương trình đường chuẩn của các parabol sau:
a) $y^{2} = 4x$; b) $y^{2} = 2x$; c) $y^{2} = -6x$.
Bài tập 15. Viết phương trình chính tắc của parabol thỏa mãn các điều kiện:
a) Tiêu điểm (8; 0);
b) Khoảng cách từ tiêu điểm đến đường chuẩn bằng 4.
Bài tập 16. Một nhà mái vòm có mặt cắt hình nửa elip cao 6 m rộng 16 m.
a) Hãy chọn hệ tọa độ thích hợp và viết phương trình của elip nói trên;
b) Tính khoảng cách thẳng đứng từ một điểm cách chân vách 4 m lên đến mái vòm.
Bài tập 17. Cho biết Mặt Trăng chuyển động quanh Trái Đất theo quỹ đạo là elip (E) với Trái Đất là mội tiêu điểm. Cho biết độ đài hai trục của (E) là 768 800 km và 767 619 km. Viết phương trình chính tắc của elip (E).
Bài tập 18. Gương phản chiếu của một đèn pha có mặt cắt là một parabol (P) với tim bóng đèn đặt ở tiêu điểm F. Chiều rộng giữa hai mép gương là 50 cm, chiều sâu của gương là 40 cm. Viết phương trình chính tắc của (P).
Bài tập 19. Màn hình của rađa tại trạm điều khiển không lưu được thiết lập hệ toạ độ Oxy với vị trí trạm có tọa độ O(0; 0) và rađa có bán kính hoạt động là 600 km. Một máy bay khởi hành từ sân bay lúc 8 giờ. Cho biết sau t giờ máy bay có toạ độ:

a) Tìm toạ độ máy bay lúc 9 giờ;
b) Tính khoảng cách giữa máy bay và trạm điều khiển không lưu;
c) Lúc mấy giờ máy bay ra khỏi tầm hoạt động của rađa?
Giải bài tập sách giáo khoa (SGK) 10 Kết nối tri thức
- Soạn văn lớp 10 tập 1 kết nối tri thức
- Soạn văn lớp 10 tập 2 kết nối tri thức
- Văn mẫu lớp 10 kết nối tri thức
- Giải bài tập toán lớp 10 tập 1 kết nối tri thức
- Giải bài tập toán lớp 10 tập 2 kết nối tri thức
- Giải bài tập vật lí lớp 10 kết nối tri thức
- Giải bài tập hóa học lớp 10 kết nối tri thức
- Giải bài tập sinh học lớp 10 kết nối tri thức
- Giải bài tập Địa lí lớp 10 kết nối tri thức
- Giải bài tập lịch sử lớp 10 kết nối tri thức
- Giải bài tập tin học lớp 10 kết nối tri thức
- Giải bài tập Âm nhạc lớp 10 kết nối tri thức
- Giải bài tập mĩ thuật lớp 10 kết nối tri thức
- Giải bài tập giáo dục kinh tế pháp luật lớp 10 kết nối tri thức
- Giải bài tập giáo dục quốc phòng an ninh lớp 10 kết nối tri thức
- Giải bài tập hoạt động trải nghiệm lớp 10 kết nối tri thức
- Giải bài tập thiết kế công nghệ lớp 10 kết nối tri thức
- Giải bài tập công nghệ trồng trọt lớp 10 kết nối tri thức
- Giải bài tập giáo dục thể chất lớp 10 kết nối tri thức
- Giải bài tập tiếng anh lớp 10 Global Success
Giải bài tập sách giáo khoa (SGK) 10 Chân trời sáng tạo
- Soạn văn lớp 10 tập 1 chân trời sáng tạo
- Soạn văn lớp 10 tập 2 chân trời sáng tạo
- Văn mẫu lớp 10 chân trời sáng tạo
- Giải bài tập toán lớp 10 tập 1 chân trời sáng tạo
- Giải bài tập toán lớp 10 tập 2 chân trời sáng tạo
- Giải bài tập vật lí lớp 10 chân trời sáng tạo
- Giải bài tập hóa học lớp 10 chân trời sáng tạo
- Giải bài tập sinh học lớp 10 chân trời sáng tạo
- Giải bài tập Địa lí lớp 10 chân trời sáng tạo
- Giải bài tập lịch sử lớp 10 chân trời sáng tạo
- Giải bài tập tin học lớp 10 chân trời sáng tạo
- Giải bài tập Âm nhạc lớp 10 chân trời sáng tạo
- Giải bài tập mĩ thuật lớp 10 chân trời sáng tạo
- Giải bài tập giáo dục kinh tế pháp luật lớp 10 chân trời sáng tạo
- Giải bài tập Hoạt động trải nghiệm, hướng nghiệp lớp 10 chân trời sáng tạo bản 1
- Giải bài tập Hoạt động trải nghiệm, hướng nghiệp lớp 10 chân trời sáng tạo bản 2
- Giải bài tập giáo dục quốc phòng an ninh lớp 10 chân trời sáng tạo
- Giải bài tập thiết kế công nghệ lớp 10 chân trời sáng tạo
- Giải bài tập công nghệ trồng trọt lớp 10 chân trời sáng tạo
- Giải bài tập giáo dục thể chất lớp 10 chân trời sáng tạo
- Giải bài tập tiếng anh lớp 10 Friends Global
Giải bài tập sách giáo khoa (SGK) 10 Cánh diều
- Soạn văn lớp 10 tập 1 cánh diều
- Soạn văn lớp 10 tập 2 cánh diều
- Văn mẫu lớp 10 cánh diều
- Giải bài tập toán lớp 10 tập 1 cánh diều
- Giải bài tập toán lớp 10 tập 2 cánh diều
- Giải bài tập vật lí lớp 10 cánh diều
- Giải bài tập hóa học lớp 10 cánh diều
- Giải bài tập sinh học lớp 10 cánh diều
- Giải bài tập Địa lí lớp 10 cánh diều
- Giải bài tập lịch sử lớp 10 cánh diều
- Giải bài tập tin học lớp 10 cánh diều
- Giải bài tập Âm nhạc lớp 10 cánh diều
- Giải bài tập mĩ thuật lớp 10 cánh diều
- Giải bài tập giáo dục kinh tế pháp luật lớp 10 cánh diều
- Giải bài tập giáo dục quốc phòng an ninh lớp 10 cánh diều
- Giải bài tập hoạt động trải nghiệm lớp 10 cánh diều
- Giải bài tập thiết kế công nghệ lớp 10 cánh diều
- Giải bài tập công nghệ trồng trọt lớp 10 cánh diều
- Giải bài tập giáo dục thể chất lớp 10 cánh diều
- Giải bài tập tiếng anh lớp 10 Explore new worlds
Giải bài tập sách bài tập (SBT) lớp 10 kết nối tri thức
- Giải bài tập sách bài tập (SBT) ngữ văn lớp 10 tập 1 kết nối tri thức
- Giải bài tập sách bài tập (SBT) ngữ văn lớp 10 tập 2 kết nối tri thức
- Giải bài tập sách bài tập (SBT) toán lớp 10 tập 1 kết nối tri thức
- Giải bài tập sách bài tập (SBT) toán lớp 10 tập 2 kết nối tri thức
- Giải bài tập sách bài tập (SBT) hóa học lớp 10 kết nối tri thức
- Giải bài tập sách bài tập (SBT) sinh học lớp 10 kết nối tri thức
- Giải bài tập sách bài tập (SBT) vật lí lớp 10 kết nối tri thức
- Giải bài tập sách bài tập (SBT) lịch sử lớp 10 kết nối tri thức
- Giải bài tập sách bài tập (SBT) địa lí lớp 10 kết nối tri thức
- Giải bài tập sách bài tập (SBT) tin học lớp 10 kết nối tri thức
- Giải bài tập sách bài tập (SBT) giáo dục kinh tế pháp luật lớp 10 kết nối tri thức
- Giải bài tập sách bài tập (SBT) giáo dục quốc phòng và an ninh lớp 10 kết nối tri thức
- Giải bài tập sách bài tập (SBT) hoạt động trải nghiệm lớp 10 kết nối tri thức
- Giải bài tập sách bài tập (SBT) tiếng anh lớp 10 Global success
Giải bài tập sách bài tập (SBT) lớp 10 chân trời sáng tạo
- Giải bài tập sách bài tập (SBT) ngữ văn lớp 10 tập 1 chân trời sáng tạo
- Giải bài tập sách bài tập (SBT) ngữ văn lớp 10 tập 2 chân trời sáng tạo
- Giải bài tập sách bài tập (SBT) toán lớp 10 tập 1 chân trời sáng tạo
- Giải bài tập sách bài tập (SBT) toán lớp 10 tập 2 chân trời sáng tạo
- Giải bài tập sách bài tập (SBT) hóa học lớp 10 chân trời sáng tạo
- Giải bài tập sách bài tập (SBT) sinh học lớp 10 chân trời sáng tạo
- Giải bài tập sách bài tập (SBT) vật lí lớp 10 chân trời sáng tạo
- Giải bài tập sách bài tập (SBT) lịch sử lớp 10 chân trời sáng tạo
- Giải bài tập sách bài tập (SBT) địa lí lớp 10 chân trời sáng tạo
- Giải bài tập sách bài tập (SBT) giáo dục kinh tế pháp luật lớp 10 chân trời sáng tạo
- Giải bài tập sách bài tập (SBT) giáo dục quốc phòng và an ninh lớp 10 chân trời sáng tạo
- Giải bài tập sách bài tập (SBT) hoạt động trải nghiệm lớp 10 chân trời sáng tạo bản 1
- Giải bài tập sách bài tập (SBT) hoạt động trải nghiệm lớp 10 chân trời sáng tạo bản 2
- Giải bài tập sách bài tập (SBT) tiếng anh lớp 10 Friends Global
Giải bài tập sách bài tập (SBT) lớp 10 Cánh diều
- Giải bài tập sách bài tập (SBT) ngữ văn lớp 10 tập 1 cánh diều
- Giải bài tập sách bài tập (SBT) ngữ văn lớp 10 tập 2 cánh diều
- Giải bài tập sách bài tập (SBT) toán lớp 10 tập 1 cánh diều
- Giải bài tập sách bài tập (SBT) toán lớp 10 tập 2 cánh diều
- Giải bài tập sách bài tập (SBT) hóa học lớp 10 cánh diều
- Giải bài tập sách bài tập (SBT) sinh học lớp 10 cánh diều
- Giải bài tập sách bài tập (SBT) vật lí lớp 10 cánh diều
- Giải bài tập sách bài tập (SBT) lịch sử lớp 10 cánh diều
- Giải bài tập sách bài tập (SBT) địa lí lớp 10 cánh diều
- Giải bài tập sách bài tập (SBT) tin học lớp 10 cánh diều
- Giải bài tập sách bài tập (SBT) giáo dục kinh tế pháp luật lớp 10 cánh diều
- Giải bài tập sách bài tập (SBT) hoạt động trải nghiệm lớp 10 cánh diều
- Giải bài tập sách bài tập (SBT) giáo dục quốc phòng và an ninh lớp 10 cánh diều
- Giải bài tập sách bài tập (SBT) tiếng anh lớp 10 Explore new world
Giải bài tập chuyên đề học tập 10 Kết nối tri thức
- Giải bài tập chuyên đề toán lớp 10 kết nối tri thức
- Giải bài tập chuyên đề ngữ văn lớp 10 kết nối tri thức
- Giải bài tập chuyên đề vật lí lớp 10 kết nối tri thức
- Giải bài tập chuyên đề hóa học lớp 10 kết nối tri thức
- Giải bài tập chuyên đề sinh học lớp 10 kết nối tri thức
- Giải bài tập chuyên đề lịch sử lớp 10 kết nối tri thức
- Giải bài tập chuyên đề địa lí lớp 10 kết nối tri thức
- Giải bài tập chuyên đề công nghệ trồng trọt lớp 10 kết nối tri thức
- Giải bài tập chuyên đề giáo dục kinh tế và pháp luật lớp 10 kết nối tri thức
- Giải bài tập chuyên đề tin học lớp 10 theo định hướng tin học ứng dụng kết nối tri thức
- Giải bài tập chuyên đề tin học lớp 10 theo định hướng khoa học máy tính kết nối tri thức
- Giải bài tập chuyên đề mĩ thuật lớp 10 kết nối tri thức
Giải bài tập chuyên đề học tập 10 Chân trời sáng tạo
- Giải bài tập chuyên đề toán lớp 10 chân trời sáng tạo
- Giải bài tập chuyên đề ngữ văn lớp 10 chân trời sáng tạo
- Giải bài tập chuyên đề vật lí lớp 10 chân trời sáng tạo
- Giải bài tập chuyên đề hóa học lớp 10 chân trời sáng tạo
- Giải bài tập chuyên đề sinh học lớp 10 chân trời sáng tạo
- Giải bài tập chuyên đề địa lí lớp 10 chân trời sáng tạo
- Giải bài tập chuyên đề lịch sử lớp 10 chân trời sáng tạo
- Giải bài tập chuyên đề giáo dục kinh tế và pháp luật lớp 10 chân trời sáng tạo
- Giải bài tập chuyên đề âm nhạc lớp 10 chân trời sáng tạo
Giải bài tập chuyên đề học tập 10 Cánh diều
- Giải bài tập chuyên đề toán lớp 10 cánh diều
- Giải bài tập chuyên đề ngữ văn lớp 10 cánh diều
- Giải bài tập chuyên đề vật lí lớp 10 cánh diều
- Giải bài tập chuyên đề hóa học lớp 10 cánh diều
- Giải bài tập chuyên đề sinh học lớp 10 cánh diều
- Giải bài tập chuyên đề địa lí lớp 10 cánh diều
- Giải bài tập chuyên đề lịch sử lớp 10 cánh diều
- Giải bài tập chuyên đề công nghệ trồng trọt lớp 10 cánh diều
- Giải bài tập chuyên đề giáo dục kinh tế và pháp luật lớp 10 cánh diều
- Giải bài tập chuyên đề tin học lớp 10 theo định hướng tin học ứng dụng cánh diều
- Giải bài tập chuyên đề tin học lớp 10 theo định hướng khoa học máy tính cánh diều
- Giải bài tập chuyên đề âm nhạc lớp 10 cánh diều